Вы здесь: Дом » Новости » Представлен ПЭТ-пластик: от применения до переработки

Представлен ПЭТ-пластик: от применения до переработки

Просмотры:2     Автор:Pедактор сайта     Время публикации: 2023-08-24      Происхождение:Работает

facebook sharing button
twitter sharing button
line sharing button
wechat sharing button
linkedin sharing button
pinterest sharing button
whatsapp sharing button
sharethis sharing button

Полиэтилентерефталат, широко известный как ПЭТ, играет ключевую роль во многих отраслях промышленности благодаря разнообразному спектру применения и обозначается цифрой «1». более пристальный взгляд на его характеристики, широкое использование и его экологическую роль.


Введение в ПЭТ-пластик


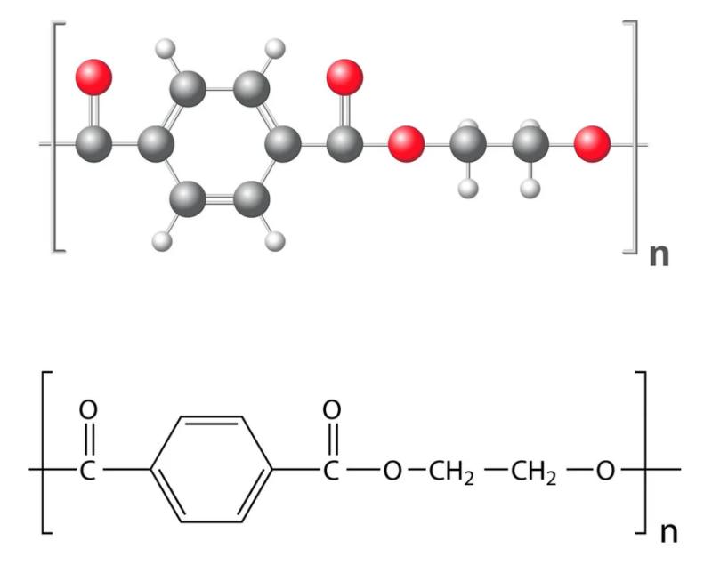
ПЭТ, или полиэтилентерефталат, представляет собой синтетический полимер, значение которого определяется его химическим составом, представленным формулой (C10H8O4)n.В мире текстиля ПЭТ носит название «полиэстер», а в сфере тары и упаковки — «ПЭТ-смола».


Структура ПЭТ-пластика.

Что такое ПЭТ-смола


Что действительно отличает ПЭТ, так это исключительный набор физических свойств, которые сохраняются в широком диапазоне температур.Обладая замечательными механическими свойствами, ПЭТ может похвастаться долговечностью использования даже при температурах до 120°C.Его способность сохранять отличные электроизоляционные свойства даже в условиях повышенной температуры и частоты делает его лучшим материалом для множества применений.


Универсальное применение ПЭТ


Пленка и упаковочные материалы:


Одна из важнейших ролей ПЭТ связана с производством пленки и упаковки.Он прекрасно служит основой для удовлетворения широкого спектра потребностей в пищевой, фармацевтической и стерильной упаковке.Его качества дополнительно используются при создании упаковки премиум-класса для деликатных инструментов, сложной электроники и текстиля, требующих нотки изысканности.


Упаковка бутылки:


Путь ПЭТ в упаковке вышел за рамки его истоков, связанных с газированными напитками, и превратился в надежного помощника для размещения разнообразного содержимого.От пива до пищевых масел, от приправ до фармацевтических препаратов и косметики — ПЭТ-бутылки прочно удерживают позиции в сфере контейнерной упаковки.


Электроника и электрические компоненты:


Универсальность ПЭТ не ограничивается расходными материалами;он проникает в сферу электроники и электрических компонентов.Его применение распространяется на создание разъемов, сложных схем, конденсаторов и множества корпусов для электронных устройств и приборов, которые пронизывают современную жизнь.


Автомобильные детали:


Автомобильный сектор также находит утешение в ПЭТ.Широкий спектр автомобильных компонентов формуется из ПЭТ, включая крышки распределительных панелей, катушки зажигания, клапаны, элементы выхлопа и корпуса измерительных приборов.Исключительные свойства этого материала, в том числе изысканное покрытие, блеск поверхности и жесткость, делают его незаменимым для изготовления наружных деталей автомобилей.


Механизмы и оборудование:


От сложных машин до повседневного оборудования, влияние ПЭТ ощущается при изготовлении шестерен, кулачков, корпусов насосов, шкивов и корпусов двигателей.Компания даже расширяет сферу своей деятельности, создавая противни для микроволновых печей, уличные рекламные щиты и сложные модели, поражающие воображение.


Применение пластикового листа ПЭТ


Доминирование ПЭТ в упаковке


Поскольку ПЭТ является краеугольным камнем жесткой упаковки для напитков и пищевых продуктов, повсеместное распространение ПЭТ наиболее заметно в этих секторах.Он обеспечивает уровень прозрачности, позволяющий ясно демонстрировать продукты, а его химическая стабильность обеспечивает сохранение качества содержимого.Сочетание механической прочности и устойчивости к ударам еще больше усиливает его роль в обеспечении целостности упакованных продуктов.


применение пластиковых листов для домашних животных


Процесс производства ПЭТ-пластика


Создание ПЭТ включает в себя тщательный процесс синтеза, в котором терефталевая кислота и этиленгликоль вступают в прямые реакции.Этот процесс разворачивается в две основные стадии: этерификация, за которой следуют реакции конденсации.Полученная ПЭТ-смола, доведенная до расплавленного состояния, превращается в пластичный материал, которому можно придать множество форм.


Рекомендации по обработке ПЭТ


Понимание характеристик ПЭТ в расплавленном состоянии имеет решающее значение для успешной переработки.Управление вязкостью посредством изменения давления является мощным инструментом формирования поведения потока.Интригующий аспект чувствительности ПЭТ к влаге требует тщательного процесса сушки перед обработкой, обеспечивающего структурную и материальную целостность.


Идентификация настоящего ПЭТ


Сенсорный тест:


Отличительный аромат ПЭТ, выделяемый при горении, отличает его от других пластмасс.Этот аромат служит надежным маркером его подлинности, его аромат заметно отличается от едкого запаха, исходящего от других материалов.


Визуальный осмотр:


Процесс горения ПЭТ дает визуальные подсказки, раскрывающие его уникальные качества.Сильнейшее почернение или быстрое образование капель масла во время горения может сигнализировать о неравномерности его температуры плавления – явление, которое чаще всего наблюдается в пленках ПЭТ.


Тест на растяжку:


Интригующий подход к различению ПЭТ заключается в том, чтобы подвергнуть расплавленную нить материала испытанию на растяжение.Наблюдая за степенью скручивания пряди и ее поведением при разрыве, можно получить представление о ее температуре плавления и характеристиках.


Безопасность ПЭТ-пластика


Профиль безопасности ПЭТ подтверждается сертификатами и одобрениями известных агентств по охране труда и технике безопасности.Такие учреждения, как FDA США, Министерство здравоохранения Канады, Европейское управление по безопасности пищевых продуктов и другие, тщательно изучили и одобрили использование ПЭТ в таре для пищевых продуктов и напитков.Его устойчивые показатели безопасности, охватывающие десятилетия, служат свидетельством его надежности и доверия потребителей.


Применение ПЭТ-пленки 6


Переработка ПЭТ-контейнеров


В сфере пластмасс ПЭТ-бутылки становятся чемпионом по возможности вторичной переработки.Их конструкция по своей сути позволяет использовать эффективные методы переработки, предлагая потенциал для достижения 100% степени переработки.В сфере упаковки произошла революция благодаря потенциалу ПЭТ, обеспечивающему цикличность, и он стал краеугольным камнем для инициатив по устойчивой упаковке во всем мире.


Переработка ПЭТ-бутылок


Процесс переработки ПЭТ


Процесс переработки ПЭТ-бутылок состоит из нескольких этапов, каждый из которых способствует превращению выброшенных отходов в ценные ресурсы.

Процесс переработки разворачивается как хореографическая последовательность:


1. Удаление этикетки (демаркировка):


ПЭТ-бутылки отправляются на путь переработки, теряя свою внешнюю индивидуальность.Специализированное оборудование бережно удаляет этикетки и клей, оставляя после себя чистую, готовую к переработке ПЭТ-тару.


2. Дробление и измельчение:


Преобразованные ПЭТ-бутылки переходят на следующий этап, где подвергаются дроблению и измельчению.Этот механический процесс измельчает их до более мелких фрагментов, облегчая последующую обработку и обработку.


3. Сортировка и классификация:


Измельченные фрагменты ПЭТ подвергаются сложному процессу сортировки.Передовые технологии, такие как оптические сканеры и воздушные классификаторы, идентифицируют и отделяют ПЭТ от других материалов на основе их отличительных свойств, таких как цвет и полимерный состав.


4. Очистка и стирка:


Очистка является важным шагом, обеспечивающим чистоту ПЭТ-материала.Фрагменты ПЭТ тщательно промывают, удаляя остатки загрязнений, этикеток и остатков клея.Этот тщательный процесс очистки восстанавливает целостность материала и подготавливает его к следующим этапам.


5. Сушка:


Содержание влаги в переработанном ПЭТ может отрицательно повлиять на его качество и обработку.Таким образом, очищенные фрагменты подвергаются процессу сушки, обеспечивая снижение содержания влаги до приемлемого уровня, тем самым сохраняя структурную целостность материала.


6. Гранулирование:


Высушенные фрагменты ПЭТ затем превращаются в однородные гранулы в процессе гранулирования.Эти гранулы служат сырьем для различных применений: от текстиля до упаковки, электроники и многого другого.


переработка ПЭТ-пластика


Отличие ПЭТ и ПЭТГ


Хотя ПЭТ и ПЭТГ принадлежат к семейству полиэфиров, они обладают отличительными характеристиками, которые отличают их в конкретных областях применения.

PETG, производная ПЭТ, отлично подходит для придания сложных форм и достижения высокого уровня удлинения.Одной из его уникальных особенностей является возможность обработки без необходимости предварительной сушки, в отличие от других материалов, таких как поликарбонат (ПК) или ударопрочный акрил.Кроме того, более короткие циклы формования PETG и более низкие температуры обработки способствуют повышению выхода продукции во время производства, что делает его привлекательным выбором для производителей, стремящихся к эффективности без ущерба для качества.


ПЭТ лист для вакуумной формовки Листовые изделия из ПЭТГ


Заключение


Полиэтилентерефталат, имеющий множество применений и значение в современном обществе, больше не является загадочным явлением.Его путь от синтеза к формованию, переработке и даже отличию от своего двоюродного брата PETG демонстрирует его замечательную универсальность.Свойства ПЭТ, являющегося краеугольным камнем упаковки и важным элементом в различных отраслях промышленности, подчеркивают его ключевую роль в устойчивом формировании нашего мира.Путь ПЭТ от пластикового материала к перерабатываемому ресурсу является свидетельством человеческих инноваций и нашей приверженности снижению воздействия на окружающую среду.Благодаря пониманию и ответственному использованию ПЭТ продолжает способствовать более устойчивому и функциональному будущему.


Связаться с нами
Ищете надежного производителя пластиковых листов В Китае?
Мы стремимся предлагать широкий спектр экономичных пластиковых материалов, используя наш обширный опыт в индустрии производства пластмасс и обширные возможности исследований и разработок для предоставления универсальных решений для наших клиентов.
Контактная информация
+86-13196442269
Промышленный парк Уджин, Чанчжоу, Цзянсу, Китай
Продукты
О ONE PLASTIC
Быстрые ссылки
© АВТОРСКОЕ ПРАВО 2023 ONE PLASTIC ВСЕ ПРАВА ЗАЩИЩЕНЫ.